GRESK & SINGLETON, P.C.

NOTICÍAS DE

ABOGADO PABLO

WEDNESDAY                                               FEBRUARY 11TH                                                               2026

Welcome to the latest edition of Noticias de Abogado Pablo, the monthly newsletter from the legal team at Gresk & Singleton. Our goal is to provide our clients and community with clear, reliable information on important legal topics. This month's edition  addresses Immigration and Customs Enforcement (ICE) and your constitutional rights

ICE Enforcement and Your Rights:
A Guide for Our Community

An encounter with Immigration and Customs Enforcement (ICE) can be intimidating and carry real consequences for individuals and families. It is critical for every individual, regardless of immigration status, to understand the rights they are guaranteed under the U.S. Constitution. Being informed is the first step in ensuring your rights are respected.

This newsletter will serve as a vital resource. We will begin by outlining the key constitutional protections you possess, including the right to an attorney. We will then detail the correct protocol if ICE agents approach you at home, in your vehicle, or in a public space, helping you to navigate these situations calmly and safely.

ICE ENFORCEMENT: WHO IS ICE PRIORITIZING?

  • People with criminal records or pending charges
  • Recent arrivals
  • People with old deportation orders
  • People flagged as security concerns

But here's what you need to understand: ICE is also arresting far more people without criminal records—seven times more than before. And they're now going into places they used to avoid, like hospitals, schools, and churches.

Having a clean record doesn't mean you're safe. Don't assume you won't be targeted.

KNOW YOUR RIGHTS

Knowing your rights is the first step to being prepared. Regardless of your immigration status, you have rights protected by the U.S. Constitution.

You can stay silent. You don't have to answer questions about where you're from or how you got here. Say: "I'm choosing to stay silent."

You can refuse to let ICE into your home. Without a warrant signed by a judge, they can't come in unless you let them. Don't open the door. (More on this below.)

You can ask for a lawyer. Say: "I want to talk to my lawyer before I answer anything."

If ICE Knocks on Your Door

Your home is where you have the most protection. Use it.

You are not required to answer the door or speak to anyone. Staying silent is your right.

    1. Don't open the door. You can stay completely silent, or talk through the door.
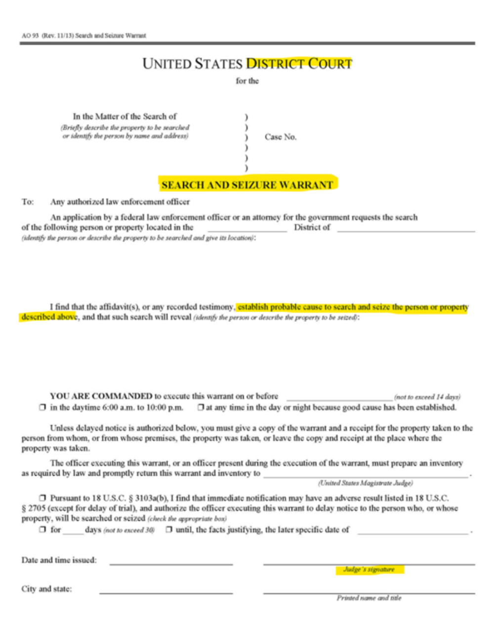
    2. If you choose to speak, ask: "Do you have a warrant signed by a judge?"
    3. If they say yes: Have them slide it under the door. Look for a judge's signature (see image)
    4. If there's no judicial warrant: Say, "I don't consent to you coming in." Stay inside. Keep the door shut.


    An ICE warrant means they can arrest you if they find you—but it doesn't give them the right to break down your door.

    If a Family Member Is Detained

    Move fast. The sooner you act, the more options we have.

    Step 1: Call our office right away: (317) 237-7911

    Step 2: Gather this information:

    • Their full legal name
    • Date of birth
    • Country of birth
    • A-number (if you know it)
    • When and where they were taken
    • Where they might be held

    Step 3: Search the ICE detainee locator Go to locator.ice.gov or call 1-888-351-4024.

    Step 4: Don't sign anything for them without talking to a lawyer first.

    If You Witness an ICE Arrest

    • You have the right to record. Film the encounter from a safe distance. Focus on the agents, showing their badges, uniforms, and vehicles. Narrate the date, time, and location.
    • Do not interfere. You can observe without getting in the way. If an agent tells you to step back, do so while continuing to record.
    • Support the person being detained. From a distance, remind them of their right to remain silent and to not sign any papers. Ask if they want you to call a family member or lawyer.

      CHEATSHEET

      Memorize this Script:

        1. Am I free to leave?”
        2. I am going to remain silent.”
        3. I want to speak to a lawyer.”
        4. I do not consent to a search."
        5. I will not sign anything without a lawyer.”

        Avoid the Following:

        • Do not lie or give false documents.
        • Do not run or resist arrest.
        • Do not answer questions about where you were born or your immigration status.
        • Do not give agents documents from another country, like a passport.
        • Do not sign any forms.
        Gresk & Singleton, P. C.

        150 E 10th Street
        Indianapolis, Indiana 46204

        Watch the Abogado Pablo Show Live on Facebook and YouTube